高温合金叶片裂纹检测、原因分析、故障排除、设计改进
疲劳断裂:材料承受交变循环应力或应变时,引起的局部结构变化和内部缺陷的不断发展,使材料的力学性能下降,最终导致产品或材料的完全断裂,这个过程称为疲劳断裂。引起疲劳断裂的应力一般很低,疲劳断裂的发生,往往具有突发性、高度局部性及对各种缺陷的敏感性等特点。由工程结构部件的疲劳失效引发的事故数不胜数,因此部件或结构的疲劳寿命分析与预测在工程应用中越来越受到重视,疲劳寿命预测能够避免产品设计缺陷与过寿命工况的发生。
金相分析
通过体视显微镜观测裂纹位置、数量以及裂纹扩展深度,并打开裂纹进行断口分析。

有限元模拟
有限元模拟分析的目的是计算涡轮叶片在工作载荷下的变形、应力分布,以考察叶片的危险部位,为后续的材料试验提供条件。
疲劳寿命预测
设计指导
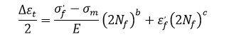
根据疲劳寿命预测数据,对叶片的设计进行指导,确定相应工况下的安全寿命。用于低周疲劳寿命预测的模型较多,一般选取较为保守的Manson-Coffin方法进行分析。在非对称循环应力下,经过平均应力修正后的Manson-Coffin方程为

案例分析—高温合金叶片裂纹检测、原因分析、故障排除、设计改进
目的和计划
金相分析
通过体视显微镜观测裂纹位置、数量以及裂纹扩展深度,并打开裂纹进行断口分析。

使用扫描电镜分析打开裂纹的横向断口:发现裂纹源于叶片凹面表面,沿叶片凹面径向扩展,贯穿裂纹发现有明显的快速扩展切剪区和疲劳贝纹,判断为疲劳裂纹。

有限元模拟
有限元模拟分析的目的是计算涡轮叶片在工作载荷下的变形、应力分布,以考察叶片的危险部位,为后续的材料试验提供条件。
疲劳寿命预测
制备与叶片成分相同的标准试棒,经过浇注与热处理,保证试棒组织与叶片组织状态相近,在有限元分析得到的危险点的温度应力条件下进行疲劳试验,得到疲劳寿命数据。

设计指导
根据疲劳寿命预测数据,对叶片的设计进行指导,确定相应工况下的安全寿命。用于低周疲劳寿命预测的模型较多,一般选取较为保守的Manson-Coffin方法进行分析。在非对称循环应力下,经过平均应力修正后的Manson-Coffin方程为

如果您有任何疑问或希望了解更多,请随时联系我们:
联系人:龙安平
联系电话:18575756170
我们期待与您的合作!