经典案例

首页 > 经典案例
新型高温合金材料研发
技术服务案例:新型高温合金材料研发

       新型高温合金材料研发:利用JmatPro、ABAQUS、Procast等模拟仿真软件,结合公司母合金熔炼、粉末制备、粉末处理、热等静压、热处理等工序生产、检测设备,开展满足用户需求的新型高温合金材料研发。


 

自主研发某型粉末高温合金热平衡计算图

  


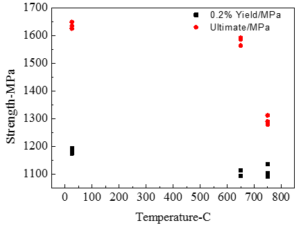
自主研发某型粉末高温合金拉伸性能


  

自主研发某型粉末高温合金强化相含量




如果您有任何疑问或希望了解更多,请随时联系我们:

联系人:龙安平

联系电话:18575756170

我们期待与您的合作!